科研进展

胡贵超教授课题组在Physical Review B上发表研究论文

时间: 2026-03-10      作者:

 

近日,山东师范大学物理与光电学院胡贵超教授课题组在物理领域国际著名自然指数期刊《Physical Review B》上发表了题为Mechanical modulation of spin-polarized transport in chiral molecular junctions”的学术论文。山东师范大学为论文第一署名单位,硕士研究生王莹和杜文斌为第一作者和共同一作,通讯作者为王传奎教授和胡贵超教授。

 

手性分子中的手性诱导自旋过滤效应(CISS)是当前物理学研究热点,在化学和生物领域也受到广泛关注。手性分子CISS物理机制一直是颇有争议的问题,探究手性分子CISS机制及调控方法,是该领域重要的科学问题。

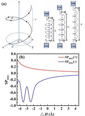
拉伸压缩是力学调控分子结电导的常用手段。然而,手性分子拉伸压缩后CISS效应如何变化尚不清晰。在本工作中,作者基于紧束缚模型和格林函数方法,研究了拉伸压缩手性分子对CISS效应的影响。研究发现,拉伸手性分子CISS效应单调衰减,而压缩手性分子CISS则呈现非单调变化。中度压缩可增强CISS效应,强压缩下体系会出现相消量子干涉现象,使得透射谱自旋极化率呈现不规则的分立峰值,量子干涉特征峰附近CISS效应显著增强。进一步压缩手性分子,CISS效应减弱。作者从分子能谱和多通道输运角度给出了理论解释,发现长程电子跃迁和自旋轨道耦合作用随分子结构的变化至关重要,并且从波函数角度给出了量子干涉现象的作证。该工作为调控手性分子CISS效应提供了有效手段,并有助于理解CISS效应和分子结构的关联。

 

 

 

以上研究获得国家自然科学基金和山东省自然科学基金资助。

论文链接:https://link.aps.org/doi/10.1103/l56v-mspq